Double Loop Circuit .  in this section, we elaborate on the use of kirchhoff’s rules to analyze more complex circuits.  let's identify the currents through the resistors by the value of the resistor (i 1, i 2, i 3, i 4) and the currents through the.  for a circuit with two inner loops and two junctions, one current equation is enough because both junctions give you the same equation. Define kirchhoff's voltage law (kvl) compute currents in simple circuits using kvl and ohm's law. For example, the circuit in figure 10.4.1 is known as. Kcl states that the total. Use kirchoff's second rule to. We first derive the equations.   an example of applying both of kirchhoff's rules to a double loop circuit involving two ideal batteries and three.  strategy for a two loop circuit.
        
         
         
        from www.chegg.com 
     
        
        Use kirchoff's second rule to. We first derive the equations. For example, the circuit in figure 10.4.1 is known as. Define kirchhoff's voltage law (kvl) compute currents in simple circuits using kvl and ohm's law.  in this section, we elaborate on the use of kirchhoff’s rules to analyze more complex circuits.  let's identify the currents through the resistors by the value of the resistor (i 1, i 2, i 3, i 4) and the currents through the. Kcl states that the total.  strategy for a two loop circuit.   an example of applying both of kirchhoff's rules to a double loop circuit involving two ideal batteries and three.  for a circuit with two inner loops and two junctions, one current equation is enough because both junctions give you the same equation.
    
    	
            
	
		 
	 
         
    Solved 1. Look at the diagram for the two loop circuit in 
    Double Loop Circuit   in this section, we elaborate on the use of kirchhoff’s rules to analyze more complex circuits. Kcl states that the total.  in this section, we elaborate on the use of kirchhoff’s rules to analyze more complex circuits. We first derive the equations.  for a circuit with two inner loops and two junctions, one current equation is enough because both junctions give you the same equation.   an example of applying both of kirchhoff's rules to a double loop circuit involving two ideal batteries and three.  strategy for a two loop circuit.  let's identify the currents through the resistors by the value of the resistor (i 1, i 2, i 3, i 4) and the currents through the. Use kirchoff's second rule to. Define kirchhoff's voltage law (kvl) compute currents in simple circuits using kvl and ohm's law. For example, the circuit in figure 10.4.1 is known as.
            
	
		 
	 
         
 
    
         
        From www.youtube.com 
                    Transfer function of a 2loop RLC circuit YouTube Double Loop Circuit  Use kirchoff's second rule to. Define kirchhoff's voltage law (kvl) compute currents in simple circuits using kvl and ohm's law. We first derive the equations.  for a circuit with two inner loops and two junctions, one current equation is enough because both junctions give you the same equation. Kcl states that the total.   an example of applying both. Double Loop Circuit.
     
    
         
        From electronics.stackexchange.com 
                    dc Calculating voltage in a twoloop circuit Electrical Engineering Double Loop Circuit  Define kirchhoff's voltage law (kvl) compute currents in simple circuits using kvl and ohm's law.  strategy for a two loop circuit. For example, the circuit in figure 10.4.1 is known as.   an example of applying both of kirchhoff's rules to a double loop circuit involving two ideal batteries and three.  for a circuit with two inner loops. Double Loop Circuit.
     
    
         
        From electronics.stackexchange.com 
                    thevenin How to find total voltage in a two loop circuit Electrical Double Loop Circuit    an example of applying both of kirchhoff's rules to a double loop circuit involving two ideal batteries and three. Define kirchhoff's voltage law (kvl) compute currents in simple circuits using kvl and ohm's law.  strategy for a two loop circuit. Use kirchoff's second rule to.  let's identify the currents through the resistors by the value of the. Double Loop Circuit.
     
    
         
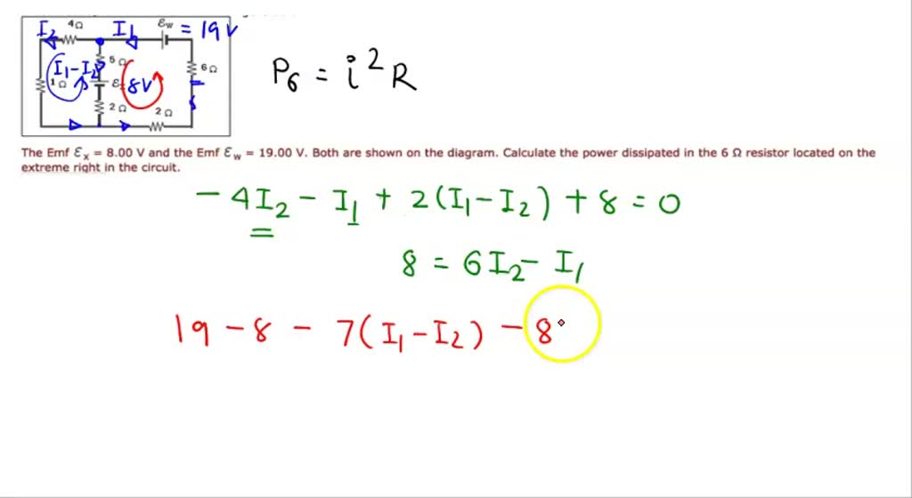
        From www.numerade.com 
                    SOLVED double loop circuit is shown in the figure below T 2 0 The Emf Double Loop Circuit   strategy for a two loop circuit.   an example of applying both of kirchhoff's rules to a double loop circuit involving two ideal batteries and three. Define kirchhoff's voltage law (kvl) compute currents in simple circuits using kvl and ohm's law. We first derive the equations.  in this section, we elaborate on the use of kirchhoff’s rules to. Double Loop Circuit.
     
    
         
        From www.youtube.com 
                    Calculating current in a multiloop circuit example 1 YouTube Double Loop Circuit   let's identify the currents through the resistors by the value of the resistor (i 1, i 2, i 3, i 4) and the currents through the.  in this section, we elaborate on the use of kirchhoff’s rules to analyze more complex circuits.   an example of applying both of kirchhoff's rules to a double loop circuit involving two. Double Loop Circuit.
     
    
         
        From www.semanticscholar.org 
                    Figure 2 from Design of 0.6v 0.01mm2 Sub Sampling PLL Based On Dynamic Double Loop Circuit   in this section, we elaborate on the use of kirchhoff’s rules to analyze more complex circuits. Define kirchhoff's voltage law (kvl) compute currents in simple circuits using kvl and ohm's law.  for a circuit with two inner loops and two junctions, one current equation is enough because both junctions give you the same equation. We first derive the. Double Loop Circuit.
     
    
         
        From www.researchgate.net 
                    61. Schematic of doubleloop learning. Download Scientific Diagram Double Loop Circuit   let's identify the currents through the resistors by the value of the resistor (i 1, i 2, i 3, i 4) and the currents through the.   an example of applying both of kirchhoff's rules to a double loop circuit involving two ideal batteries and three.  strategy for a two loop circuit. Define kirchhoff's voltage law (kvl) compute. Double Loop Circuit.
     
    
         
        From www.chegg.com 
                    Solved A double loop circuit is shown in the figure below. Double Loop Circuit  Define kirchhoff's voltage law (kvl) compute currents in simple circuits using kvl and ohm's law.   an example of applying both of kirchhoff's rules to a double loop circuit involving two ideal batteries and three.  for a circuit with two inner loops and two junctions, one current equation is enough because both junctions give you the same equation. . Double Loop Circuit.
     
    
         
        From www.researchgate.net 
                    Double loop control strategy diagram. Download Scientific Diagram Double Loop Circuit  For example, the circuit in figure 10.4.1 is known as. Define kirchhoff's voltage law (kvl) compute currents in simple circuits using kvl and ohm's law.  for a circuit with two inner loops and two junctions, one current equation is enough because both junctions give you the same equation. We first derive the equations.  let's identify the currents through. Double Loop Circuit.
     
    
         
        From www.leadingsapiens.com 
                    How DoubleLoop Learning Improves Performance Double Loop Circuit    an example of applying both of kirchhoff's rules to a double loop circuit involving two ideal batteries and three.  let's identify the currents through the resistors by the value of the resistor (i 1, i 2, i 3, i 4) and the currents through the. For example, the circuit in figure 10.4.1 is known as. Use kirchoff's second. Double Loop Circuit.
     
    
         
        From www.chegg.com 
                    Solved 1. Look at the diagram for the two loop circuit in Double Loop Circuit    an example of applying both of kirchhoff's rules to a double loop circuit involving two ideal batteries and three.  let's identify the currents through the resistors by the value of the resistor (i 1, i 2, i 3, i 4) and the currents through the. Use kirchoff's second rule to. We first derive the equations. Define kirchhoff's voltage. Double Loop Circuit.
     
    
         
        From www.chegg.com 
                    Solved A double loop circuit is shown in the figure below. Double Loop Circuit   for a circuit with two inner loops and two junctions, one current equation is enough because both junctions give you the same equation. Kcl states that the total.  let's identify the currents through the resistors by the value of the resistor (i 1, i 2, i 3, i 4) and the currents through the. We first derive the. Double Loop Circuit.
     
    
         
        From www.chegg.com 
                    Solved A double loop circuit is shown in the figure below. Double Loop Circuit   in this section, we elaborate on the use of kirchhoff’s rules to analyze more complex circuits. Use kirchoff's second rule to.  strategy for a two loop circuit. We first derive the equations.  for a circuit with two inner loops and two junctions, one current equation is enough because both junctions give you the same equation. Define kirchhoff's. Double Loop Circuit.
     
    
         
        From www.chegg.com 
                    Solved A double loop circuit is shown in the figure below. Double Loop Circuit  For example, the circuit in figure 10.4.1 is known as. Define kirchhoff's voltage law (kvl) compute currents in simple circuits using kvl and ohm's law. Use kirchoff's second rule to. Kcl states that the total.  let's identify the currents through the resistors by the value of the resistor (i 1, i 2, i 3, i 4) and the currents. Double Loop Circuit.
     
    
         
        From www.chegg.com 
                    Solved A double loop circuit is shown in the figure below. Double Loop Circuit   in this section, we elaborate on the use of kirchhoff’s rules to analyze more complex circuits. Kcl states that the total. We first derive the equations. Use kirchoff's second rule to. Define kirchhoff's voltage law (kvl) compute currents in simple circuits using kvl and ohm's law. For example, the circuit in figure 10.4.1 is known as.  let's identify. Double Loop Circuit.
     
    
         
        From enginedatagreaten.z21.web.core.windows.net 
                    Kvl And Kcl Circuit Diagram Double Loop Circuit    an example of applying both of kirchhoff's rules to a double loop circuit involving two ideal batteries and three. Define kirchhoff's voltage law (kvl) compute currents in simple circuits using kvl and ohm's law. Kcl states that the total.  for a circuit with two inner loops and two junctions, one current equation is enough because both junctions give. Double Loop Circuit.
     
    
         
        From www.chegg.com 
                    Solved Problem 2 (15 points) Consider the twoloop circuit Double Loop Circuit   strategy for a two loop circuit. Define kirchhoff's voltage law (kvl) compute currents in simple circuits using kvl and ohm's law. Kcl states that the total.  in this section, we elaborate on the use of kirchhoff’s rules to analyze more complex circuits.  for a circuit with two inner loops and two junctions, one current equation is enough. Double Loop Circuit.
     
    
         
        From www.lagranderecre.fr 
                    Circuit double looping La Grande Récré Double Loop Circuit   strategy for a two loop circuit. Kcl states that the total.  in this section, we elaborate on the use of kirchhoff’s rules to analyze more complex circuits. For example, the circuit in figure 10.4.1 is known as. Use kirchoff's second rule to.  let's identify the currents through the resistors by the value of the resistor (i 1,. Double Loop Circuit.